大家好,这里是专注表观组学十余年,领跑多组学科研服务的易基因。
CpG密度(CpG density)与各种组织中的DNA甲基化相关。基因组按CpG密度分为:CpG岛(CpG island,CGI)、CpG岛上下游2kb以内的区域(CpG shore ,CpG岛岸)、CpG岛岸上下游2kb以内的区域(CpG shelve,CpG大陆架),一共5个区域,分别统计各区域的甲基化水平。
全基因组DNA甲基化分析是用于基因组表征和差异DNA甲基化分析的最常见表观遗传学过程之一。先前的全基因组分析表明,CpG密度是DNA甲基化方法中的一个重要变量。目前的研究旨在分析各种不同物种基因组中的CpG密度,并将其与各种DNA甲基化分析数据集进行关联分析。对人、大鼠、鸟类、鱼类的基因组中观察到类似的结果:90%以上的基因组区域属于低密度类别(1-3 CpG/100bp),小于10%的基因组区域属于高密度类别(>5 CpG/100bp)。甲基化DNA免疫沉淀(MeDIP)使用抗5-甲基胞嘧啶抗体免疫沉淀,然后进行下一代测序(MeDIP-Seq),MeDIP偏好<5 CpG/100bp的低CpG密度(对应>95%的基因组)。减少代表性重亚硫酸盐测序(RRBS)通常在≥3CpG/100bp的较高CpG密度区域中鉴定DMR(对应约20%的基因组)。全基因组重亚硫酸盐测序(WGBS)在通常大于10 CpG/100bp更高的CpG密度区域分析,且WGBS可鉴定≥2 CpG/100bp区域(约占基因组50%)。CpG密度是DNA甲基化分析中的关键变量,不同分子技术专注于不同的基因组区域,本文比较了MeDIP-Seq、RRBS、WGBS三种DNA甲基化分析方法。
比较方法
MeDIP-seq、RRBS、WGBS每种技术均从目标细胞类型或组织的DNA提取和纯化开始。
MeDIP-seq将DNA超声处理成几百个碱基对的短片段,产生单链DNA以实现有效的抗体结合,然后使用5-甲基胞嘧啶抗体结合包含甲基化CpG位点的片段。这些片段通常用结合抗体的磁珠分离,并用PCR扩增DNA后测序。PCR包括通用引物和索引引物以及条形码引物,以扩增所有DNA片段。MeDIP-seq的局限在于无法达到单碱基分辨率,不是高通量测序,不能鉴定单个CpG甲基化水平和高密度的CpG位点。
基于亚硫酸盐转化的RRBS和WGBS是可以达到单碱基分辨率的高通量DNA甲基化测序方法。
RRBS使用甲基化敏感的限制性内切酶消化,在高GC密度CpG位点将未甲基化的DNA酶切成片段。对这些片段进一步处理并选择大小并靶向启动子和CpG岛区域,所得片段进行亚硫酸盐转化,将未甲基化的胞嘧啶转化为尿嘧啶,同时保留未转化的甲基化胞嘧啶,随后对片段进行PCR扩增并测序。
WGBS对全基因组进行亚硫酸盐处理和分析,在亚硫酸盐转化之前不进行甲基化片段分离。对亚硫酸盐转化后的全基因组甲基化进行测序,并使用各种生物信息学方案,通常用于基因组表征。

比较结果
在人、大鼠、鱼(斑马鱼和钢头鳟鱼)和鸟类(鸡)基因组中研究了全基因组CpG密度分布。从NCBI或Ensembl获得参考基因组序列,初步分析1000bp窗口鉴定全基因组CpG密度。基因组主要由<3 CpG/100bp的CpG密度较低区域组成,小部分基因组位点的CpG密度较高。在所有不同物种的基因组中观察到类似结果。在<3 CpG/100 bp的基因组区域中,对应于97%的人基因组、98%的大鼠基因组、88%的斑马鱼基因组、93%的钢头鳟鱼基因组、94%的鸡基因组。基因组中很少有1kb区域>20CpG/100bp(人1,鸡8,其他0),存在一些>10CpG/100bp的CpG密度较高区域(即CpG岛)(约占基因组1%),但绝大多数密度<5CpG/100bp。在大鼠基因组中,48%的100bp基因组窗口没有CpG,但当使用1kb窗口时,基因组下降到5%。结果表明基因组主要为低CpG密度,在用于研究全基因组DNA甲基化的方法中需要考虑到这一点。
图1:全基因组CpG密度。对应于CpG/100 bp的全基因组1 kb区域数。
(a)人、(b)大鼠、(c)钢头鳟鱼、(d)斑马鱼、(e)鸡
MeDIP-seq分析
此前研究已证明MeDIP分析偏好基因组低密度CpG区域。在NCBI GEO下载每个物种基因组发布的可用MeDIP-Seq数据集,以鉴定获得数据的CpG密度分布。图2为不同物种MeDIP-seq数据的代表性实例,分析重点在于两个不同样品组比较以鉴定用于数据分析的差异DNA甲基化区域(DMR)。MeDIP-seq数据集的DMR CpG密度分析结果表明大部分DMR为0–3 CpG/100bp的CpG密度,主要密度为1 CpG/100 bp,这与代表性基因组中的主要密度相关。在不同物种样本之间观察到一些变化,斑马鱼DMR尤其显示出向稍高的1-4 CpG/100 bp的CpG密度转变,可能归因为精子和红细胞两种不同细胞类型。总之结果表明MeDIP-seq数据能有效分析低密度基因组CpG区域(<3 CpG/100 bp),其占不同物种的基因组90%以上。

图2:甲基化DNA免疫沉淀测序(MeDIP-Seq)
差异DNA甲基化区(DMRs)的百分比对应于每100bp的CpG位点数量。
(a)人类MeDIP研究1 DMR;(b)人类MeDIP研究2 DMR;(c)大鼠MeDIP研究1 DMR;(d)大鼠MeDIP研究1 DMR;(e)斑马鱼MeDIP研究1 DMR;(f)斑马鱼MeDIP研究1 DMR;(g)斑马鱼MeDIP研究2 DMR;(h)钢头鳟MeDIP研究1 DMR;(i)钢头鳟MeDIP研究1 DMR;(j)鸡MeDIP研究1 DMR;(k)鸡MeDIP研究2 DMR;(l)鸡MeDIP研究2 DMR。
RRBS分析
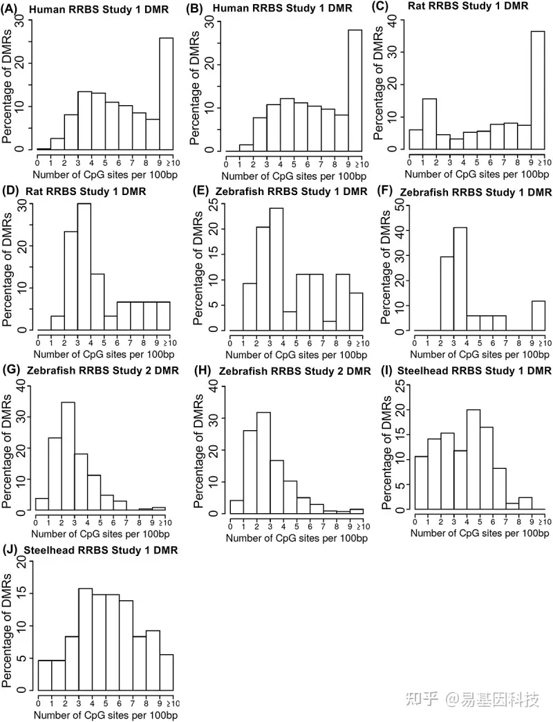
在几种不同物种中比较了用于DNA甲基化分析的RRBS方法,确定每个数据集的CpG/100bp密度(图3)。数据集分析结果表明在DMR CpG密度分布中显示出分裂:一些数据集显示在>10 CpG/100 bp 的RRBS DMR中,CpG密度向更高方向变化,而其他数据集则显示向中等CpG密度变化。图2(a-c)和图3(c)中>10 CpG/100 bp的 CpG密度主要为10-12 CpG/100 bp,但如果增加到1 kb,则>10 CpG中约2/3低于10 CpG/1 kb。除鱼类之外,只观察到1或2 CpG/100 bp密度可忽略检测。结果表明,与MeDIP分析相比,RRBS数据偏向更高密度的CpG区域(如≥3CpG/100bp)。有趣的是,钢头鳟鱼的数据集在两个不同实验室的相同样品上分别使用了MeDIP-Seq和RRBS方法(图2和图3),因此对相同样品的不同分析进一步证明了MeDIP对较低密度CpG的偏倚和RRBS对较高密度CpG的偏倚。

图3:不同物种的减少代表性亚硫酸盐测序(RRBS)
差异DNA甲基化区域(DMR)的百分比对应于每100bp的CpG位点数量
(a) 人类RRBS研究1 DMR;(b)人类RRBS研究1 DMR;(c)大鼠RRBS研究1 DMR;(d)大鼠RRBS研究1 DMR;(e)斑马鱼RRBS研究1 DMR;(f)斑马鱼RRBS研究1 DMR;(g)斑马鱼RRBS研究2 DMR;(h)斑马鱼RRBS研究2 DMR;(i)钢头鳟鱼RRBS研究1 DMR;(j)钢头鳟鱼RRBS研究1 DMR。
WGBS分析
在几个不同物种中比较了用于DNA甲基化的全基因组重亚硫酸盐(WGBS)分析方法,确定每个分析的DMR CpG/100bp密度(图4)。结果表明WGBS数据集的CpG密度与RRBS数据集CpG密度范围类似。在向更高CpG密度(2-5 CpG/100bp)发生微小变化的分析与>10 CpG/100 bp的CpG密度分析之间存在差异。除了鸡之外,1 CpG/100 bp DMR的检测最少。观察结果表明,WGBS数据靶向比MeDIP分析更高密度的CpG区域。

图4:不同物种的全基因组重亚硫酸盐(WGBS)分析
(a) 人类WGBS研究1 DMR;(b)大鼠WGBS研究1 DMR;(c)大鼠WGBS研究2 DMR;(d)斑马鱼WGBS研究1 DMR;(e)斑马鱼WGBS研究2 DMR;(f)鸡WGBS研究1 DMR。

图5:不同DNA甲基化分析方法的基因组百分比
(a) 每种方法的基因组百分比(1kb基因组窗口的百分比)与所有物种的平均值。总条形图表示MeDIP 0–5 CpG/100bp、WGBS≥2 CpG/100bp、RRBS≥3 CpG/100bp、CpG岛芯片阵列的基因组总百分比。空心条表示不同方法的reads比对限制百分比。
(b) MeDIP 0–5 CpG/100 bp、WGBS≥2 CpG/100 bp和RRBS≥3 CpG/100 bps的每种方法在不同物种的基因组百分比(插图图例)。
易基因科技提供全面的DNA甲基化研究整体解决方案。

参考文献:
Beck D, Ben Maamar M, Skinner MK. Genome-wide CpG density and DNA methylation analysis method (MeDIP, RRBS, and WGBS) comparisons. Epigenetics. 2022 May;17(5):518-530.
相关阅读:
干货系列:DNA甲基化研究的3大前期探索性实验思路
干货分享:DNA甲基化研究的测序数据挖掘思路
14种全基因组DNA甲基化测序(WGBS)标准分析比对软件的比较 | 生信专区
2022最新:8种常用DNA甲基化测序技术,你知道几个?